Подготовим к ЕГЭ за оставшееся времяна нужные баллы.
Пробный период бесплатно


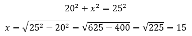
Диаметр основания конуса равен 40, а длина образующей — 25. Найдите высоту конуса.

Бесплатное занятие с репетитором 1 на 1
Переходи в тг-бот, выбирай удобное время и записывайся на бесплатный урок

Решай задачи ЕГЭ в приложении
Скачивай наш Тренажер ЕГЭ на iPhone или Android и тренируйся в любое время и в любом месте!