Набираем новый поток! Старт 3 ноября


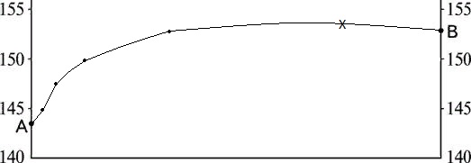
Постройте профиль рельефа местности по линии А – В. Для этого постройте для основу для профиля на бланке ответов № 2, используя горизонтальный масштаб – в 1 см 50 м и вертикальный масштаб – в 1 см 5 м. Укажите на профиле знаком «Х» положение отдельно стоящего дерева.

-
В первую очередь, надо разобраться с масштабом. Особенно это важно при работе с топографической картой на электронном носителе. В КИМе лучше тоже свериться с линейным масштабом. Если работаем на электронном носителе, нужно увеличить/уменьшить карту таким образом, чтобы единичный отрезок линейного масштаба совпал с единичным отрезком линейки (т.е. стал равным 1 см.)
Далее, не изменяя масштаба (т.е. не масштабируя картинку), измеряем расстояние от точки А до В. Внимательно считаем миллиметры. Переносим точки пересечения с горизонталями. Отмечаем это на профиле.
Учитываем, что масштаб карты в 1 см 100 метров, а профиля - в 1 см 50 метров (в 2 раза больше, крупнее). Значит, если при измерении мы получаем, допустим, 0,7 см, то на профиле мы будем отмечать эту точку через 1,4 см.

Точки соединяем очень аккуратно, используем линейку.
Решай задачи ЕГЭ в приложении
Скачивай наш Тренажер ЕГЭ на iPhone или Android и тренируйся в любое время и в любом месте!