Бесплатное занятие с репетитором 1 на 1! Оценим уровень знаний, разберём тему,
сформируем план подготовки к ЕГЭ. Запишись через тг-бот

осталось мест 52
Новая Школа - онлайн-школа подготовки к ЕГЭ
При поддержке
Тренировки Пробники Статистика Карточки Учебник Об экзамене Учительская
  • Тренажёр заданий ЕГЭ
  • Тренажёр ЕГЭ по Профильной математике
  • Список заданий №1321
  • Задание №1321
  • Задание №16966 ЕГЭ Профильной математике

    Условие задания #16966

    №1321 по КИМ

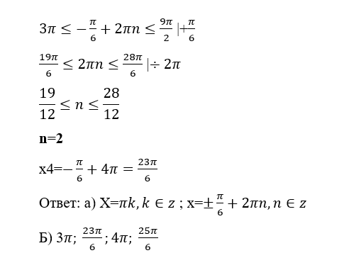
    Ответ

    Ответ:

    Решение

    Понятно ли решение?

    Решения от учеников
    0

    Похожие задания

    15
    Задание №28646Задание №28649Задание №3944Задание №3945Задание №3946Задание №8157Задание №48841Задание №11330Задание №15740Задание №16711Задание №16800Задание №16947Задание №16966Задание №17133Задание №17131
    Бесплатно

    Решай задачи ЕГЭ в приложении

    Скачивай наш Тренажер ЕГЭ на iPhone или Android и тренируйся в любое время и в любом месте!

    Саша — ассистент в телеграмме