Бесплатное занятие с репетитором 1 на 1! Оценим уровень знаний, разберём тему,
сформируем план подготовки к ЕГЭ. Запишись через тг-бот

осталось мест 52
Новая Школа - онлайн-школа подготовки к ЕГЭ
При поддержке
Тренировки Пробники Статистика Карточки Учебник Об экзамене Учительская
  • Тренажёр заданий ЕГЭ
  • Тренажёр ЕГЭ по Профильной математике
  • Список заданий №821
  • Задание №821
  • Задание №1907 ЕГЭ Профильной математике

    Условие задания #1907

    №821 по КИМ

    Диагональ куба равна Найдите его объем.

    Ответ

    Ответ:

    8

    Решение

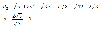
    Диагональ квадрата:

    Диагональ куба:

    Тогда объем куба:

    Ответ: 8

    Понятно ли решение?

    Решения от учеников
    0

    Похожие задания

    15
    Задание №1916Задание №331Задание №1906Задание №1907Задание №1908Задание №1915Задание №1914Задание №1917Задание №1918Задание №4416Задание №4408Задание №4410Задание №4422Задание №4413Задание №4414
    Бесплатно

    Решай задачи ЕГЭ в приложении

    Скачивай наш Тренажер ЕГЭ на iPhone или Android и тренируйся в любое время и в любом месте!

    Саша — ассистент в телеграмме