Бесплатное занятие с репетитором 1 на 1! Оценим уровень знаний, разберём тему,
сформируем план подготовки к ЕГЭ. Запишись через тг-бот


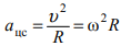
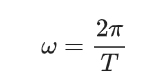
В школьном опыте брусок, лежащий на горизонтальном диске, вращается вместе с ним с некоторой угловой скоростью. В ходе опыта период вращения диска увеличили. При этом положение бруска на диске осталось прежним. Как изменились при этом следующие три величины: угловая скорость диска, центростремительное ускорение бруска, сила нормального давления бруска на опору?
Для каждой величины определите соответствующий характер изменения:
1) увеличилась
2) уменьшилась
3) не изменилась
Запишите в таблицу выбранные цифры для каждой физической величины. Цифры в ответе могут повторяться.

Решай задачи ЕГЭ в приложении
Скачивай наш Тренажер ЕГЭ на iPhone или Android и тренируйся в любое время и в любом месте!